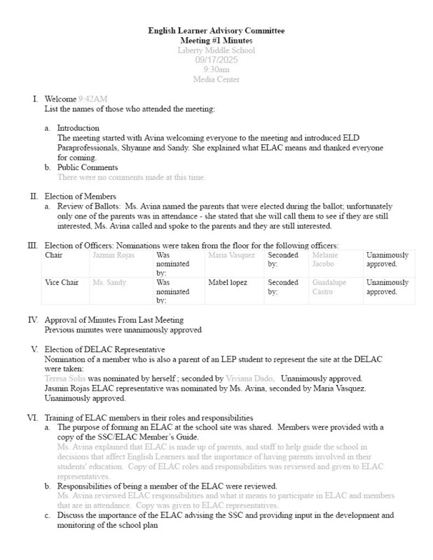
ELAC parent Meeting Banner

Please see the attached images for our first ELAC Meeting on September 19

Also available as a PDF at

https://core-docs.s3.us-east-1.amazonaws.com/documents/asset/uploaded_file/430/LMS/6059158/Copy_of_LMS_ELAC_1_Minutes_25-26.docx.pdf

ELAC1ELAC2ELAC3ELAC4